Matematyka

Menu

  • start
  • 1b
  • 2a
  • 3a
  • 3d
  • 3f
  • 4b
  • 4d
  • 4e
  • archiwum

Znajdź

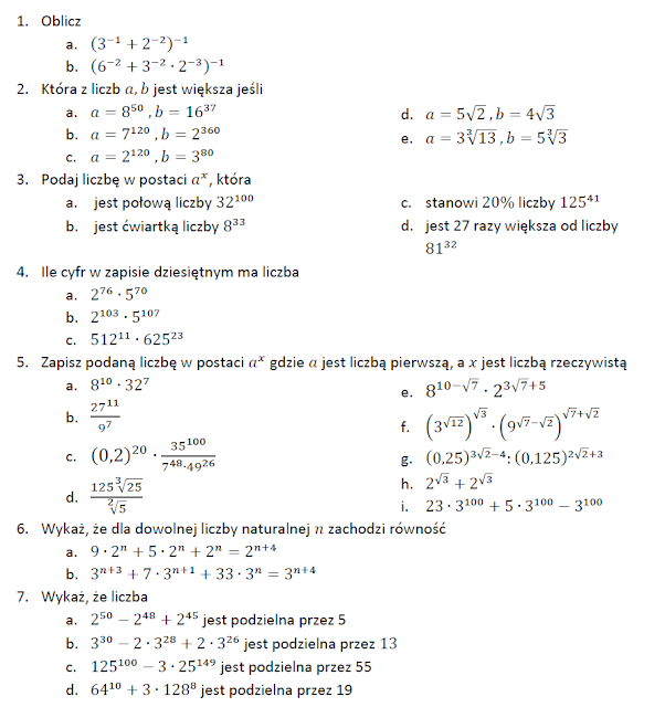
Potęgi, pierwiastki, logarytmy - zadania

 

PDF



Odpowiedzi poniżej










Wyślij pocztą e-mailWrzuć na blogaUdostępnij w XUdostępnij w usłudze FacebookUdostępnij w serwisie Pinterest
Tematy logarytmy, pierwiastki, Potęgi
Nowszy post Starszy post Strona główna

Zobacz

  • Kalendarz
  • Mój plan
  • Matura
  • Arkusze maturalne
  • Geogebra

MatRozmaitości

  • Polska Szkoła Matematyczna

Tematy

  • ciąg arytmetyczny (1)
  • ciągi (4)
  • dziedzina (1)
  • ekstrema funkcji (1)
  • funkcja kwadratowa (1)
  • funkcja liniowa (3)
  • funkcja logarytmiczna (1)
  • geometria analityczna (3)
  • Kombinatoryka (1)
  • logarytmy (1)
  • nierówności wielomianowe (3)
  • okręgi w układzie współrzędnych (1)
  • optymalizacja (1)
  • pierwiastek wielokrotny wielomianu (3)
  • pierwiastki (2)
  • pochodna funkcji (2)
  • Potęgi (2)
  • proste w układzie współrzędnych (3)
  • przesuwanie wykresów funkcji (1)
  • Rachunek prawdopodobieństwa (2)
  • Równania (1)
  • równania liniowe (1)
  • równania wymierne (1)
  • styczna do wykresu (1)
  • tożsamości trygonometryczne (1)
  • trygonometria (2)
  • wielomiany (3)
  • własności funkcji (2)
  • wykres funkcji (2)
  • wykres funkcji liniowej (1)
  • wyrażenia algebraiczne (1)
  • wzory skróconego mnożenia (2)
  • wzór funkcji liniowej (1)
  • zbiór wartości (1)

Archiwum

  • ►  2026 (1)
    • ►  maja 2026 (1)
      • ►  03/05 (1)
  • ►  2025 (5)
    • ►  listopada 2025 (1)
      • ►  01/11 (1)
    • ►  października 2025 (2)
      • ►  02/10 (1)
      • ►  01/10 (1)
    • ►  września 2025 (1)
      • ►  18/09 (1)
    • ►  stycznia 2025 (1)
      • ►  29/01 (1)
  • ►  2024 (5)
    • ►  listopada 2024 (1)
      • ►  13/11 (1)
    • ►  września 2024 (1)
      • ►  01/09 (1)
    • ►  lutego 2024 (3)
      • ►  19/02 (3)
  • ►  2023 (8)
    • ►  listopada 2023 (1)
      • ►  15/11 (1)
    • ►  września 2023 (2)
      • ►  25/09 (1)
      • ►  24/09 (1)
    • ►  sierpnia 2023 (1)
      • ►  20/08 (1)
    • ►  maja 2023 (1)
      • ►  06/05 (1)
    • ►  kwietnia 2023 (1)
      • ►  17/04 (1)
    • ►  marca 2023 (2)
      • ►  22/03 (1)
      • ►  13/03 (1)
  • ▼  2022 (19)
    • ►  grudnia 2022 (1)
      • ►  22/12 (1)
    • ►  listopada 2022 (4)
      • ►  23/11 (1)
      • ►  21/11 (1)
      • ►  14/11 (1)
      • ►  07/11 (1)
    • ▼  października 2022 (5)
      • ►  19/10 (1)
      • ▼  17/10 (1)
        • Potęgi, pierwiastki, logarytmy - zadania
      • ►  09/10 (1)
      • ►  06/10 (1)
      • ►  05/10 (1)
    • ►  września 2022 (9)
      • ►  27/09 (1)
      • ►  26/09 (1)
      • ►  16/09 (1)
      • ►  15/09 (1)
      • ►  13/09 (1)
      • ►  08/09 (1)
      • ►  07/09 (1)
      • ►  06/09 (1)
      • ►  01/09 (1)

Napisz do mnie

Nazwa

E-mail *

Wiadomość *

Tłumacz na

Otworzono

Strona tworzona przez Ryszarda Olszewskiego na potrzeby II LO im S. Wyspiańskiego. Obsługiwane przez usługę Blogger.